
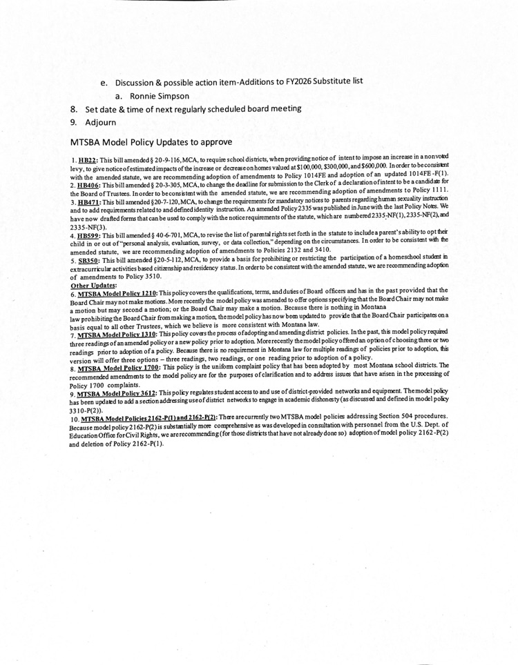
Addition to October Agenda, new business action item E.



Attention Parents of Jr. High and High School Students: There will be an Internet Safety & Adolescent Wellbeing Presentation for the Jr. High and High School students at 9:00 am on Thursday the 23rd in the Auditorium.


From the desk of Suzanna Johnson


Agenda: Regular Board Meeting October 23rd, 2025



Picture Absentee/Retakes Tuesday 10/21 begins at 9:00 a.m. at the elementary school following at the high school.
For retakes please bring your original picture package and $5 processing fee. Here is the link for parents whose children missed the first picture day and would like to prepay online.
http://lccphotography.hhimagehost.com/BigSandyAbsenteePortraits2025
For retakes please bring your original picture package and $5 processing fee. Here is the link for parents whose children missed the first picture day and would like to prepay online.
http://lccphotography.hhimagehost.com/BigSandyAbsenteePortraits2025

Pioneers Win!!!


Pioneer Fans- it's Game time! Kickoff in 20 minutes! Pioneers vs Refiners 💜❤️


We are looking for help in the Kitchen! Give us a call if you're interested in subbing!


Knights come out on top tonight


Tomorrow's Menu
Breakfast- Pizza Rippers
Lunch- Hot Turkey Sandwiches
Reminder- No School Thursday!
Breakfast- Pizza Rippers
Lunch- Hot Turkey Sandwiches
Reminder- No School Thursday!


Sports Update! Wins for the Pioneers!
Jr high football won 46-6
Jr high Volleyball A and B lost
JV volleyball won in 3



Big Sandy High School is currently accepting applications for the position of Assistant Boys Basketball Coach. If you are interested, please contact Melanie Schwarzbach, AD for more information. (mschwarzbach@bigsandy.k12.mt.us or 406.378.3413)


Congrats to these Tootle earners!


Junior High basketball practice begins right after school on Monday, October 13th. If your athlete did not play football or volleyball, just a reminder that a physical is required to play in school sports. Questions? Please reach out to Mrs. Schwarzbach.

The Pre-Ets Uno Night has been postponed.


Pioneer Fans- Here's what is coming up for Sports! Football was moved from Friday to TOMORROW in Hays. Jr. High starts at 5. Volleyball travels to Highwood tomorrow, matches begin at 4. And Saturday is the Jr. High District Volleyball Tournament in Belt!
Go PIONEERS!!
Go PIONEERS!!




No wins for the Pioneers tonight in the Hawks gym..The ladies play again Thursday in Highwood.


📢 Important Information: MAST Testing for Grades 3-8
Big Sandy School will begin Montana's new MAST (Montana Aligned to Standards Through-Year) assessment starting October 13th for students in grades 3-8.
Unlike the old end-of-year testing, MAST breaks assessments into smaller testlets throughout the year across three testing windows (Fall, Winter, and Spring). This gives teachers and families more actionable information about student progress throughout the school year.
📋 What you need to know:
Testing begins October 13
Each testlet takes 15-30 minutes
Results provided weekly after completion
Tests cover Math and English Language Arts
A detailed parent notification letter with testing windows, FAQs, and resources is now available on our website under documents.
Questions? Contact Heather Wolery at (406) 378-2502.
Big Sandy School will begin Montana's new MAST (Montana Aligned to Standards Through-Year) assessment starting October 13th for students in grades 3-8.
Unlike the old end-of-year testing, MAST breaks assessments into smaller testlets throughout the year across three testing windows (Fall, Winter, and Spring). This gives teachers and families more actionable information about student progress throughout the school year.
📋 What you need to know:
Testing begins October 13
Each testlet takes 15-30 minutes
Results provided weekly after completion
Tests cover Math and English Language Arts
A detailed parent notification letter with testing windows, FAQs, and resources is now available on our website under documents.
Questions? Contact Heather Wolery at (406) 378-2502.



Jr High and Varsity with big wins for against St Patrick's tonight, GO Pioeners 🏈💜


Lots of wins in the Pioneer Gym tonight for the Ladies...Jr high, JV and Varsity! 💜🏐
